Community Math
La community, chat e forum su math.
35.395 anime
35.395 anime
9gg
INFP
Scorpione
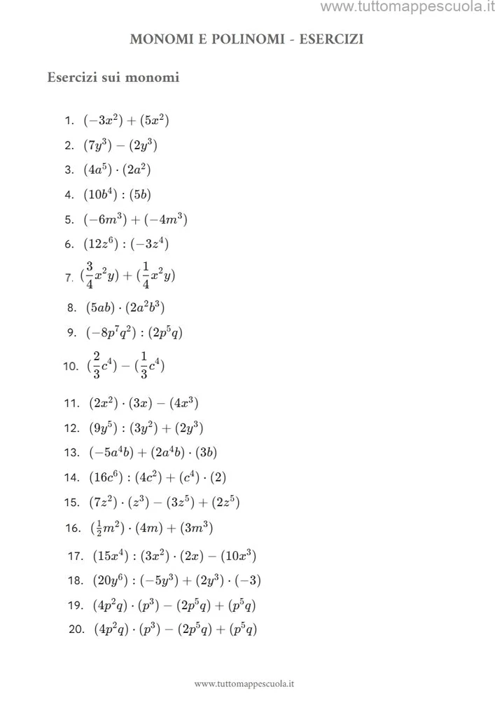
Chi se li ricorda?
Mi manca tanto fare questi esercizi..... Vorrei tornare a saperli rifare, erano divertenti e spassosi

4
4
4mm
ENTJ
Toro
Perché quando devo studiare ho sempre sonno e quando devo andare a dormire sono stra carico?
2
2
10mm
ESTJ
Vergine
altroritmo

1
0
1aa
INFJ
Scorpione
Che tipi strani ...
😍😆

19
13
1aa
ENFJ
Pesci
In cerca di appassionati matematici
Per chiunque avesse piacere di dialogare su argomenti matematici, presente😎
6
38
2aa
ENFJ
Ciclo di isteresi

15
9
Incontra Persone Nuove
50.000.000+ DOWNLOAD


